The following article is from Rhodes & Schwartz China, by You Jia and Xuan Yinliang
Translated by Hualink Technology Sunny Li

Correct calibration is the premise to ensure the correct measurement of vector network analyzer VNA. Modern commercial vector network analyzer has provided many intelligent calibration methods to ensure the correctness of calibration. Users usually directly measure the calibration parts after calibration to verify the calibration results, which is a common verification method. However, due to historical reasons and lack of in-depth understanding of some details, users have a certain misunderstanding of the verification results. In this paper, the verification of VNA calibration of coaxial system is analyzed and explained in depth, so that users can have a further correct understanding of the verification results. At the same time, the calibration process, especially the principle of unknown straight-through calibration method, is discussed in detail.
1.1 Error models for traditional (known) straight-through calibration methods
The traditional coaxial system calibration method is usually called TOSM----Through Open Short Match (also known as SOLT----Short Open Load Through), which is a calibration method based on the 3-receiving section architecture of the early network analyzer (taking 2-port network analyzer as an example, It can be collectively referred to as N+1 structure, that is, the number of ports is N and the number of receivers is N+1). In this architecture, the reference receiver is shared between the two ports and switches between the two ports respectively. Therefore, the error model is a 12-term error model, which is also the classic network analyzer error model, as shown in FIG. 1 and 2. It is generally divided into two sub-models, namely forward and reverse. The meanings of each error term EIJ in this model are shown in Table 1. In the actual network analyzer, the values of E10, E32, E23, E01 or E '01, E' 23, E '32, E' 10 will not be equal to 0, so two of the eight items can be specified as any non-zero value, which will change the absolute value of wave quantity. But it doesn't affect the ratio between wave quantities (the S parameter is defined as the ratio between wave quantities). So here we assume that e10=1 and E '23=1, and that gives us ten independent error terms, ten independent unknowns.

FIG. 1 3 Error model of forward measurement in receiver architecture

FIG. 2 3 Error model of reverse measurement in receiver architecture

Table 1 Physical significance of error terms in the 10-item error model
The so-called calibration is to measure a group of known devices (namely, calibration components or standard components), according to the comparison between the actual test results of the instrument receiver and the characteristics of the known calibration components, combine the equations, and solve the above error term EIJ, so as to provide correction for the subsequent measurement
The so-called calibration is to measure a group of known devices (namely, calibration components or standard components), according to the comparison between the actual test results of the instrument receiver and the characteristics of the known calibration components, combine the equations, and solve the above error term EIJ, so as to provide correction for the subsequent measurement.
Calibration components need to be further explained here. In the coaxial system, calibration components are usually open circuit, short circuit, matching and straight-through. But because ideal open circuit, short circuit, matching and straight-through cannot be realized in reality, it is necessary to calibrate the "characteristic data" of calibration components correctly. For example, open circuit should be represented as a parasitic capacitance and a length of transmission line; Short circuit is characterized by parasitic inductance and a transmission line, and matching is generally characterized by an ideal 50 ohms. Modern network analyzer can also characterize the non-ideal matching. See Figure 3.
Therefore, in the derivation of the following formula, we use Γopen, Γshort, Γmatch to represent the actual reflection coefficients of open, short and matched calibration parts respectively. Because match is usually defined as ideal 50 ohms, the general γ Match =0, and the above 3 parameters are known, and are generally defined in the file form in the storage device attached to the calibration device. For the low-frequency coaxial calibration device, the difference is not very large. Therefore, most commercial network analyzers have built-in calibration components of common type "typical data".
For straight-through calibration, it is necessary to accurately characterize (or "tell" the network analyzer) its plug loss and current length. and strictly speaking, to know its S11 and S22, but the current network analysis model is to treat straight-through as an ideal 50 ohm loss transmission line.

FIG. 3 Circuit model of common calibration components, and characteristic data describe the non-ideal of calibration components
1.1 Calibration steps
Six equations can be listed for the three single-port calibration components of open circuit, short circuit and matching (ports 1 and 2 are tested respectively, a total of 6 times), and four equations can be listed for the straight-through component once again. As reference receivers are shared, two independent sub-models are needed for forward and reverse testing. The forward error model is shown in Figure 1, in which the wave quantity of signals that actually reach the reference plane is aG1 and bG1. The measured signal wave quantities of the receiver inside the network division are aG2 and bG2, and their relationship is shown in the following formula:

When measuring a single port calibration, can be obtained

Six equations can be obtained by connecting the calibrators of Open, Short and Match at two ports respectively. Among them, bG2/aG2 and bH2/aH2 are the real data received by the receiver and the measured data, which are treated as the known data in the equations. ΓSTD is ΓOpen, ΓShort, and Γ Match, respectively, which can be described by the model in Figure 3.
The measurement of through

When forward testing the through calibration element, two results will be obtained, namely two equations, namely, the insertion loss of the through calibration element S21-T, and the overall reflection coefficient γ THR FWD after the series load of the Through calibration element matches E22

A similar inverse error sub-model is shown in FIG. 2: When testing through of the straight-through calibrator, the equation is shown below, where ΓTHR REV represents the overall reflection coefficient after the reverse load matching E '11 and through series

Formula (7) (8) (9) (10) of the hf-solvated aG2, bG2, aH2, bH2 is receiver receives the real data, measured data is, in the equations as known number processing, also can list 4 set of equations, and the above equation is 6 set of equations constitutes 10 group, and the error term is just 10, would be to work out the error of each item, The calibration process can be completed.
1.1 Unknown straight-through calibration method and model
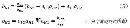
Modern network analyzers generally use 2N receiver architecture. For example, the number of receivers of 2-port network analyzers is 4, that is, each port has its own reference receiver and measurement receiver. Therefore, the reflection coefficients of instrument ports E11 and E22 remain unchanged no matter in the forward test or reverse test. That is, the load match for the reverse test is the same as the source match for the forward test, and vice versa. Therefore, its error model is shown in Figure 4, and corresponding error terms are shown in Table 2, where the matching part of source and load is represented by gray background color. Similar to section 1.1, in the actual network analyzer, e10, e32, electronics and e01 values are not equal to zero, so this can be one of the four items appointed as any non-zero value, this will change the absolute value of wave volume, but will not affect the amount of wave between the ratio of the (S parameters is defined as the ratio between the amount of wave) so it is assumed that e32 = 1, So there are seven independent error terms (that is, seven unknowns).

FIG. 4 Error model of modern network analyzer 4 receiver architecture

Table 2 Physical significance of error terms in the 7-item error model

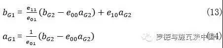
Thus, the relationship between the signals aG1 and bG1 that actually reach the reference plane and the measured signals aG2 and bG2 of the receiver inside the network can be obtained:

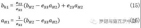
Similarly, the relationship between aH1 and bH1 signals arriving at the reference plane at port 2 and aH2 and bH2 signals measured at the receiver inside the network can be obtained

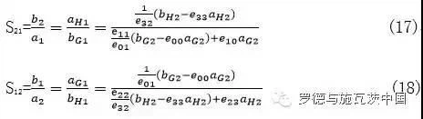
For single-port calibration, six equations can be listed using formulas (3) and (4). For the straight-through calibration parts, only S21 and S21 plug losses are tested respectively

It should be noted that in (17) and (18), the measured signals of the four receivers are all involved, so the straight-through calibration component should be tested in a forward way, and the results of the four receivers should be put into (17), and then the reverse test should be done again, and the results of the four receivers should be put into (18). As long as the straight-through calibration components are guaranteed to be reciprocal, that is, S21=S21, that is, (17) and (18) can be equal and an equation can be obtained. In conjunction with the above 6 equations of single-port calibration, there are altogether 7 equations and 7 unknowns, and each error term EIJ can be solved.
2.1 Verification results and common misunderstandings by using calibration parts
Before introducing validation, a brief introduction to the concept of effective system data: after the error network is mathematically compensated through systematic error calibration, the remaining system measurement errors are called effective system data.
There are many verification methods for network analyzer test accuracy (including calibration), such as T-check, mismatched load, 50 ω -25 ω -50 ω step air-line, etc., with traceable parameter files. Verification methods are also more complex, mainly unit - oriented. Ordinary users usually do some simple verification directly with the calibrators.
First of all, it should be emphasized that the actual test results are not "ideal" parameters, but "characteristic data" of calibration components to verify with calibration components.
Therefore, the direct test of Open is not a circle of Open points at the right end of the Smith circle, but a curve along the isopr circle towards the source (generator). This is because the open-circuit calibration as shown in figure 3 pieces is actually a parasitic capacitance in series a loss transmission line, for different frequency transmission lines (including loss) caused by the phase shift is different, so together hundreds of sweep frequency, the frequency of each point is different, different phase shift, is displayed as a curve, look on the phase of S11, also is not zero, for the same reason.
Similarly, if the S11 of Short calibration is tested, what you see is also near the short-circuit point at the left end of the Smith chart; follow the VSWR circle, a line in the direction of the generator whose length depends on the sweep range.
As for Match, current network analyzers generally treat it as an ideal 50 ohm Match. Therefore, after calibration, the reflection coefficient of Match calibration component is very low, generally reaching about -60dB. This value can be understood as "effective system data", namely the residual error after compensation. It is worth noting that there is a special phenomenon called "re-recognition" for Match, that is to say, calibration with a certain set of calibration kit, if the Match used in the calibration is still tested, the reflection coefficient can reach about -60dB. If the Match in any other set of calibration kit is changed, they can't reach -60dB, they can only reach -30dB or so. This is mainly because low-band network analyzers regard Match as an ideal 50 ohms, and the calibration algorithm only compensates according to the result of the current test Match. In fact, the physical characteristics of each Match are slightly different, so it is impossible to achieve the reflection coefficient of -60dB by changing another Match. Of course, the ideal 50 ohms is also impossible to achieve, which is also a factor affecting the measurement uncertainty. At present, when testing the reflection coefficient of commercial network analyzer, especially the devices with very small reflection coefficient (-25dB to -35dB), the uncertainty can generally reach 2-3dB.
Therefore, it is important to emphasize again that the true S11 (reflection coefficient) of any matching calibrator does not reach -60dB, generally only around -30 to -40dB. On time, the system treats this as an ideal match and gets a result as low as -60dB.
Modern network analyzer also supports S parameter package to define calibration parts. If S parameter package file definition is adopted and Open, Short and Match are measured after calibration, the measured results are exactly the same as the data in S parameter definition package. It is worth noting that the current commercial calibration kit usually only uses S parameter package for Open, Short and Match, and lossy transmission line model for Through. This is mainly because the transmission line model has been able to describe its characteristics more accurately. Because Through is a 2-port device, it must have S2P file. If S2P file is used, the parameters of the file must be related to the connection direction of the calibration component, and in practice, it is not convenient to specify the connection direction of Through during calibration.
2.2 Verification of straight-through calibration parts
Regardless of TOSM or UOSM calibration method, the last connected calibration piece is through. Therefore, it is also the most convenient and common simple verification method to look through the results directly after calibration. The results of through measurement in TOSM and UOSM are analyzed in detail below.
Similar to the above, after calibration with TOSM, the result of direct measurement through is the corresponding "characteristic data" in the calibration model, with certain insertion loss and phase. This point needs to be noted, many users have always had a misunderstanding, think that at this time the plug loss should be 0, phase is also 0, this is not correct.
For UOSM calibration, the through calibration part is directly measured after calibration. Then the network analyzer will treat the through as a test part directly. The insertion loss and phase measured are the actual characteristics of the calibration part. It is worth mentioning that UOSM calibration is very suitable for testing devices with different joint types at both ends. For example, the input of a test piece is n-type joint and the output is SMA joint. When testing this device, you can use n-type cable at one end of the network, and use SMA type cable at the other end. When calibration, you can use N-type Open, Short and Match calibration pieces on the N-type joint side, and use SMA Open, Short and Match calibration pieces on the SMA type joint side. When calibrating through, use any good quality N-SMA adapter. After calibration, the reference surface is the end of the N-type connector and SMA connector of the cable. Therefore, the UOSM calibration method can also be used to test some connector adapters and RF cables.
After TOSM calibration, S11 or S22 were directly tested without removing the through calibration piece. At this time, what was measured was the result of payload matching (which can be regarded as close to ideal 50 ohm) in series of a loss transmission line, as shown in FIG. 5, which is a small circle near the matching point in the center of Smith's original drawing. With the change of frequency, it presents certain complex impedance characteristics and gradually deviates from the 50 ohm origin. As shown in Figure 3, the through calibrator is treated as an ideal loss transmission line of 50 ohms, without considering the S11 reflection of the through itself. This value is still very small when converted into reflection coefficient expressed in dB. Generally, the network analyzer is below 8GHz and still has about -50dB.
As shown in Formula (8) and (10), S11 and S22 still need to be tested and compensated in TOSM calibration when measuring straight-through. Therefore, after calibration, the currently used through calibration component also has the phenomenon of "re-recognition". At this time, after changing to another through, It is impossible to achieve the return loss of -50dB, even if the current through is connected in a different direction, it will not reach the magnitude of -50dB.

FIG. 5 Results of S11 of the current calibrator directly tested on Smith's circle diagram after TOSM calibration
However, USOM does not measure and compensate S11 and S22 of through, and through is even unknown, let alone described as an ideal loss transmission line, so there is no so-called "re-recognition" phenomenon. After calibration, test through directly. S11 and S22 are the port reflection coefficients of the through itself, which are generally below -30dB. However, this is only reasonable. The result after TOSM calibration is actually the result of "re-recognition" effect, which is the residual error of overly idealized instrument and cannot reflect the real characteristics of the calibration parts and system.
Although the results of direct testing of the calibration components after UOSM calibration are not as ideal as TOSM, UOSM is a more accurate calibration method, and its results can more truly reflect the characteristics of the calibration components.
3. Summary
In this paper, the basic principle, error model, characterization of non-ideal calibration parts and so-called "re-recognition" phenomenon of traditional straight-through calibration method TOSM and unknown straight-through UOSM calibration method are introduced in detail. On this basis, different calibration methods are compared and the results of current calibration parts are measured after calibration. Some common mistakes are pointed out and the advantages and convenience of UOSM calibration method are emphasized. It provides guidance for the daily use of network analyzer users.
Source: Rhodes & Schwartz China





