The following article is from

01 Let's start with Maxwell's equations
Since we are talking about electrons and electromagnetism, we must talk about Maxwell's equations. I remember reading a post a few years ago, which listed the ten greatest formulas in human history, and Maxwell's equations were definitely among them. Mr. Maxwell, after deriving the equations, predicted the existence of electromagnetic waves; Einstein proposed the special theory of relativity based on Maxwell's equations.
Maxwell's equations have integral form and differential form, interested partners can find to have a look, it is easy to see dizzy. Don't give up if you're dizzy. To be honest, this system of equations makes me dizzy. So we're not going to talk about this great system today. Our focus is on constitutive equations. Maxwell's equations alone are not enough to solve the problem. Constitutive equations describing the electromagnetic properties of materials must also be introduced:

Today, we're going to talk about this one in the first constitutive equation, the dielectric
constant.
02 What is dielectric constant?
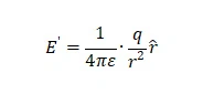
In PCB industry, permittivity is commonly called Dk and Df. We will talk about this in detail later. Let's have a look at its English first. In English there is a word permittivity and a phrase dielectric constant, which literally translates to dielectric constant. Thus, dielectric constant describes the properties of an insulator in an electric field. Let's start by recalling Coulomb's law from college physics. According to Coulomb's law, the strength of the electric field generated by a charge in a vacuum is: An electric charge
,creates an electric field of E strength in A vacuum
:

Here
Is a fundamental physical constant in physics,called vacuum permittivity, and its value is:

Let's remember again, what happens when you put a conductor, a metal, in an electrostatic field?

Conductors in an electrostatic field (image from network)
Due to the large amount of free charge (electron) in the metal, it will move under the action of the applied electric field
, forming an induced charge on the metal surface, and the induced electric field
generated by the induced charge is equal to the applied electric field
, and the direction is opposite. So inside the metal, the induced electric field and the applied electric field cancel each other out, and the total field strength is zero, that is to say, there is no electric field inside the metal. What happens when you put an insulator (dielectric material) in an electrostatic field? Conclusion: As with metals, there is an induced charge on the surface of the dielectric; the difference is that the induced electric field generated by the induced charge is not enough to completely cancel out the applied electric field. You might wonder, right? Insulator has no free charge, why does it sense charge? The molecules of insulators can be divided into two categories according to whether they are polar or not: non-polar and polar molecules.
is a typical non-polar molecule, which is characterized by the coincidence of the geometric center of the positive charge and the geometric center of the negative charge, and has no electric moment on the whole. The geometric centers of positive and negative charges of
do not coincide, showing an electric moment as a whole.

Non-polar and polar molecules (image from web)
When there is no applied electric field, the surface of the non-polar molecular material is electrically neutral, but when the applied electrostatic field, the positive and negative charges in the molecule will shift in different directions, resulting in an electric moment, known as displacement polarization. The electric moments generated by displacement polarization cancel each other out internally and generate electric charges on the surface of the material.

Shifting polarization (image from network)
Although each molecule is polar, a large number of molecules move randomly in the absence of an external electrostatic field, which is electrically neutral at macro level. However, when an external electrostatic field is applied, the arrangement of molecules changes to some extent and tends to be consistent, thus generating electric charges on the surface of the material. This process is called orientation polarization.
Orientation polarization (image from Internet)
We now know that dielectric materials also form an induced charge on the surface in an electrostatic field, just as metal materials do. But the induced electric field generated by the induced charge on the surface of the dielectric material is not enough to cancel out the applied electric field, so the total electric field inside the dielectric material is smaller than the applied electric field, but not zero. We can figure out, An electric charge
,creates an electric field of E strength in a vacuum
:

Here,
is called the permittivity of the dielectric material. In engineering, we often normalize this value to
, and the normalized value is called relative permittivity
, which is A dimensionless value:

It follows that the relative permittivity of materials (often referred to simply as permittivity in engineering) is an inherent property of the material itself.
An electric charge in a vacuum has an electric field of
, in a metal it has an electric field of 0, and in a dielectric material it has an electric field of
, which is less than
, and its ratio is the relative permittivity of the material.

The above discussion is about the properties of the medium in an electrostatic field. In an AC field, the situation becomes more complicated. Here we do not do detailed discussion, interested students can refer to fang Junxin, Yin Zhiwen "dielectric physics". To put it simply, under the action of high-frequency electric field, insulating materials will produce displacement current, and the direction of displacement current is not orthogonal to the direction of electric field, which consumes power and causes loss. Therefore, at high frequencies, the relative permittivity of the material is complex A:

The imaginary part
represents the material loss at high frequencies. Plot the complex number
on the coordinate axis of the complex number, it can be seen that the tangent value of the phase
of the complex number is:

In engineering, this value is commonly used to characterize the loss of materials, known as the loss Angle tangent. In the PCB industry,
is customarily known as Dk (Dielectric Constant), and the tangent of loss Angle
is known as Df (Dissipation Factor).
03 What are the properties of dielectric constant?
As mentioned above, dielectric constant is mainly related to the molecular structure and arrangement of the material itself, so it is an inherent property of the material itself and generally will not change. For mixed materials, it's more complicated. For example, if the material is left for a period of time and absorbs water, it will cause a change in the dielectric constant. The permittivity of most materials is independent of the direction; we call it isotropic. There are also some different materials, such as some woven materials, the dielectric constant parallel to the braided surface and perpendicular to the braided surface is not the same, called anisotropic materials. A special class of materials are also anisotropic, such as ferroelectrics and vector liquid crystals. The dielectric constant of a material is a function of frequency, that is to say, the dielectric constant is different at different frequencies.
The variation of the complex permittivity with frequency
In addition, the dielectric constant of materials also varies with temperature. The following table shows the relative permittivity of some materials at 10 GHz at room temperature: 
04 What does dielectric constant affect??
Since it is called the dielectric "electric" constant, it must affect the electrical signal. One effect: The permittivity of capacitance actually has another name - permittivity. As the name suggests, the dielectric constant of a material affects the capacitance of a capacitor. Parallel plate capacitors: two parallel metal plates sandwiched between a thin layer of dielectric. Capacitance of parallel plate capacitor (ignoring edge effect) :

S is the relative area of parallel metal plates, d is the distance of parallel metal plates, that is, the thickness of dielectric materials. An ideal capacitor has no loss, but since dielectric materials have losses (the imaginary part of the complex dielectric constant), the equivalent circuit of the actual capacitor is an ideal capacitor and a resistor in parallel, and the loss of the capacitor is described by the dissipation factor D:

As you all know, electromagnetic waves travel at the speed of light. We often say that the speed of light is 299792458 m/s, or we can simplify it to
. But let's note that the speed of light is the speed at which electromagnetic waves travel through a vacuum. As an electromagnetic wave travels through a dielectric material, it slows down, and by how much it slows down is determined by the dielectric constant:

Where
is the speed of light in vacuum. We know that the speed of light is equal to the frequency of the electromagnetic wave times the wavelength of the electromagnetic wave. As electromagnetic waves travel through dielectric materials, their frequency does not change and their wavelength becomes shorter. As electromagnetic waves propagate through dielectric materials, their energy decreases gradually, and this attenuation is caused by the imaginary part of the complex dielectric constant.
Influence three: Characteristic impedance of microwave transmission line Microwave transmission line is a concept in microwave technology, used to transmit microwave signals. The most important index of microwave transmission line is its characteristic impedance, and the characteristic impedance of all kinds of microwave transmission line is related to the dielectric constant of the filled dielectric. Take the common coaxial transmission line as an example:

Coaxial transmission line section
Coaxial transmission line is composed of outer conductor, inner conductor and dielectric material filled between, and its characteristic impedance is:

In fact, the measurement of dielectric constant is made use of its influence on electrical signals.





